前缀树也称为字典树、Trie树,优点在于利用字符串的公共前缀来减少查询时间,常被搜索引擎用于文本词频统计。
前缀树构建过程
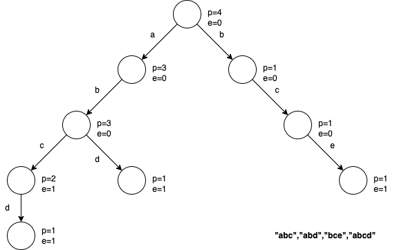
以字符串“abc”,“abd”,“bce”,“abcd”为例,前缀树构建过程如下图所示:
- 每个节点记录经过当前节点的字符串数量p和是否是字符串结尾e
- 每条线段表示字符

前缀树实现
1 2 3 4 5 6 7 8 9 10 11 12 13 14 15 16 17 18 19 20 21 22 23 24 25 26 27 28 29 30 31 32 33 34 35 36 37 38 39 40 41 42 43 44 45 46 47 48 49 50 51 52 53 54 55 56 57 58 59 60 61 62 63 64 65 66 67 68 69 70 71 72 73 74 75 76 77 78 79 80 81 82 83 84 85 86 87 88 89 90 91 92 93 94 95 96 97
| public static class Node { public int pass; public int end; public Node[] nexts;
public Node() { pass = 0; end = 0; nexts = new Node[26]; } }
public static class Trie { public Node root;
public Trie() { root = new Node(); }
public void insert(String word) { if (word == null) { return; }
char[] chs = word.toCharArray();
Node node = root; node.pass++; int path = 0; for (int i = 0; i < chs.length; i++) { path = chs[i] - 'a'; if (node.nexts[path] == null) { node.nexts[path] = new Node(); } node = node.nexts[path]; node.pass++; } node.end++; }
public void delete(String word) { if (search(word) != 0) { char[] chs = word.toCharArray(); Node node = root; node.pass--; int path = 0; for (int i = 0; i < chs.length; i++) { path = chs[i] - 'a'; if (--node.nexts[path].pass == 0) { node.nexts[path] = null; return; } node = node.nexts[path]; } node.end--; } }
public int search(String word) { if (word == null) { return 0; }
char[] chs = word.toCharArray(); Node node = root; int index = 0; for (int i = 0; i < chs.length; i++) { index = chs[i] - 'a'; if (node.nexts[index] == null) { return 0; } node = node.nexts[index]; } return node.end; }
public int prefixNumber(String pre) { if (pre == null) { return 0; } char[] chs = pre.toCharArray(); Node node = root; int index = 0; for (int i = 0; i < chs.length; i++) { index = chs[i] - 'a'; if (node.nexts[index] == null) { return 0; } node = node.nexts[index]; } return node.pass; } }
|